A solution to the Square Root formatting issue in Apple's Latex.

By using the \overset command the Apple Latex to MathML translator (Blahtex) can be tricked into spacing simple square root arguments correctly. Note sometimes this is not required to get it properly spaced, however sometimes it is necessary.


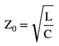
As seen in the following image Z_0 = \sqrt{\dfrac {L}{C}} does not center the fraction in the square root correctly. By adding an \overset command with a single empty argument the problem can be corrected.

Posted on Mar 8, 2022 10:15 AM

Reply
1 reply

This thread has been closed by the system or the community team. You may vote for any posts you find helpful, or search the Community for additional answers.

A solution to the Square Root formatting issue in Apple's Latex.

Welcome to Apple Support Community
A forum where Apple customers help each other with their products. Get started with your Apple Account.