Can I insert a square root on pages? And can I write an equation text (not image) on pages?

I can't write text equations, like square roots or vectors, and superscripts and subscripts. Is there a solution for this?

iPad (3rd gen) Wi-Fi, iOS 6.0.1, iWork for iPad

Posted on Dec 11, 2012 12:11 PM

Reply
7 replies

Nov 13, 2013 8:33 PM in response to Xcrius

There is no equation editor in Pages. But you can generate terrific equations using an iOS LaTEX editor like MathBot or Daum Equation Editor:


https://itunes.apple.com/us/app/mathbot-tex-equation-typesetting/id386825681?mt= 8


https://itunes.apple.com/us/app/daum-equation-editor/id540665783?l=es&mt=12


These apps generate graphical versions of the equations that you simply paste into your document.


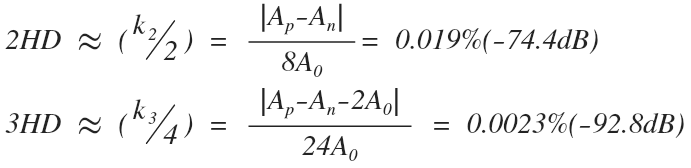
Here's an example of the output I made for an article the other day:


User uploaded file

This thread has been closed by the system or the community team. You may vote for any posts you find helpful, or search the Community for additional answers.

Can I insert a square root on pages? And can I write an equation text (not image) on pages?

Welcome to Apple Support Community
A forum where Apple customers help each other with their products. Get started with your Apple Account.