Plotting the future sales with "FORECAST" Function: Could Apple Numbers be Inferior to Microsoft Excel?

Hello again,


Hope I am not bothering you, but here is what I am attempting to do.


What we know:

Let's assume Apple Inc had the following sales figures for the past 12 months (in billions):


Jan $1

Feb $2

Mar $3

Apr $5

May $7

Jun $9

Jul $11

Aug $15

Sep $19

Oct $11

Nov $11

Dec $11


Now, Mr Cook would like to know if it would be possible, using Apple Numbers, to predict future 4 (or more) month sales based on previous known historical data (sales figures & months). Mr Cook does not wish to use Microsoft Excel 2016, which already has built-in "Forecast Sheet" and only requires 2 sets of arguments to predict future data.


The challenge is to do this in Apple Numbers, so future values could be plotted on Graph as an extension to historical data.


Thank you.

iMac (27-inch, Late 2013), macOS Sierra (10.12.1), null

Posted on Apr 15, 2017 2:39 PM

Reply
12 replies

Apr 15, 2017 11:35 PM in response to DanielDay

So the way I would do this is:

enter the data you provided into a table using the following steps:



enter the first two months of the series, then select them. Hover the cursor over the lower edge so the yellow dot appears. :

User uploaded file


Click, and hold, on the yellow fill control to fill the pattern down as needed.


Now convert the first row to a header row by using the contextual menu for row "1"

User uploaded file


User uploaded file

Now enter the formula for forecast.

C14=FORECAST(A14,$B$2:$B$13,$A$2:$A$13)

this is shorthand for... select cell C14, then type (or copy and paste from here) the formula:

=FORECAST(A14,$B$2:$B$13,$A$2:$A$13)


select cell C14, copy

select cells C14 thru the end of column C, paste



To plot this, select columns A thru C and add a scatter chart:

User uploaded file

Once you have added, then chart, select the chart, then use the series formatter to add lines (if you want)

Apr 15, 2017 11:35 PM in response to DanielDay

Hi Daniel,


Scatter charts plot x data against y data—in this case one set of x data (dates) against two sets of y data (sales and projected sales).


Scatter charts require that both x data and y data be recorded in non-header columns. You x data seems to be in a Header column, where it will be treated as labels for the data series, not as data itself.


Click on a cell in column B, then press option-left arrow to insert a new column to the left of the current column B.


Re-enter the dates from column A into the new column B, delete column A, then reattempt construction of your chart.


Regards,

Barry

Apr 16, 2017 10:30 AM in response to Wayne Contello

Hey guys, I'm just curious, is there a way to "extract" this raw mathematical formula that is the driving force behind this FORECAST function? What we use appears to be Linear Prediction. According to Wikipedia, the most common representatin/formula for this Linear Prediction is:


User uploaded file

Since probably none of us have nanophysics degree, is there a better way to represent the above formula? For example: a + b - z, if z = g blah blah blah...🙂

Apr 16, 2017 7:37 PM in response to DanielDay

DanielDay wrote:


Hey guys, I'm just curious, is there a way to "extract" this raw mathematical formula that is the driving force behind this FORECAST function?

Since probably none of us have nanophysics degree, is there a better way to represent the above formula? For example: a + b - z, if z = g blah blah blah...🙂

Numbers' FORECAST function uses "Linear least squares" method.

https://en.wikipedia.org/wiki/Linear_least_squares_(mathematics)

It expects data to be on Y = a X + b, where `a' and `b' to be calculated from given data for the best fit.

# `best' means smallest sum of ( a Xᵢ + b - Yᵢ )² — square of difference between actual value and calculated value.

On Numbers, you can get `a' value with SLOPE function and `b' with INTERCEPT function.

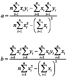
If you need more inside, `a' and ’b’ are calculated as below.

User uploaded file


No, I don't have nanophysics degree, but I need to check it for related work ( write program to estimate actual value from noisy sample data ) several years ago.

# Σ is symbol to mean "sum". e.g. Σx² = X₁² + X₂² + … + Xn²

Apr 16, 2017 11:40 PM in response to DanielDay

DanielDay wrote:


is there a way to "extract" this raw mathematical formula that is the driving force behind this FORECAST function?


You cannot "extract" the underlying math (which isn't rocket science at all, but is nothing more than beginning statistics of the kind that Ian and Wayne eat for breakfast🙂!).


But you can easily replicate the calculations with basic formulas. For example:

User uploaded file


The formulas:


In the 'Known Values' table


C2: =A2−AVERAGE(A)

D2: =B2−AVERAGE(B)

E2: =C×D

F2: =C2^2


Filled down their respective columns.


In the 'Slope & Intercept' table:


B2: =SUM(Known Values::E)

B3: =SUM(Known Values::F)

B4: =B2÷B3

B5: =AVERAGE(Known Values::B)−B4×AVERAGE(Known Values::A)


In the 'Forecast' table


B2: =A2×'Slope & Intercept'::$B$4+'Slope & Intercept'::$B$5


Filled down the column.


SG

This thread has been closed by the system or the community team. You may vote for any posts you find helpful, or search the Community for additional answers.

Plotting the future sales with "FORECAST" Function: Could Apple Numbers be Inferior to Microsoft Excel?

Welcome to Apple Support Community
A forum where Apple customers help each other with their products. Get started with your Apple Account.